À Exma. Sra. Presidenta da República Federativa do Brasil
IEPREV – INSTITUTO DE ESTUDOS PREVIDENCIÁRIOS, inscrito no CNPJ n. 08.429.802/0001-23, representado pelo seu Presidente ROBERTO DE CARVALHO SANTOS, inscrito na OAB-MG sob o nº 92.298, com sede em Belo Horizonte-MG, na Rua Timbiras n 1940, salas 510/511/512/810/811/1016/1017/1218, Lourdes, CEP 30330-240, vem expor e requerer o que se segue.
1 – APRESENTAÇÃO
O IEPREV – INSTITUTO DE ESTUDOS PREVIDENCIÁRIOS congrega diversos estudiosos da seara previdenciária e possui o legítimo interesse em colaborar na expansão da cobertura previdenciária nacional, de modo a efetivar os postulados da universalidade e da dignidade da pessoa humana previstos na Constituição Federal.
Dessa forma, o Instituto apresentou, juntamente com outras entidades, quando da tramitação da MP n. 664/2014 perante o Congresso Nacional, diversas propostas visando ao seu aperfeiçoamento.
Aproveitamos o ensejo de novamente contribuir para o debate da discussão ora travada em face da edição da MP n. 664/2014, especialmente sobre a proposta da fórmula 85/95 e também sobre a metodologia de cálculo do benefício de auxílio doença.
2 – DA FÓRMULA 85/95
2.1. DA CRIAÇÃO DO FATOR PREVIDENCIÁRIO E SUA INEFICÁCIA EM REDUZIR A IDADE EM QUE OS BRASILEIROS SE APOSENTAM
Como se sabe, o fator previdenciário foi criado pela Lei n. 9.876/99 e teve por escopo estimular o trabalhador a não se aposentar precocemente e continuar contribuindo para a Previdência Social, mesmo já tendo os 35 anos de contribuição para homem e 30 anos de contribuição para a mulher.
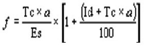
Eis a fórmula concebida pela Lei supracitada:
Em que pese este propósito, o caráter ininteligível da fórmula matemática e a instabilidade resultante da mudança anual da tábua de mortalidade definida pelo IBGE, acabou por não alcançando seu objetivo principal. O brasileiro urbano continua se aposentando por tempo de contribuição ao longo dos anos com a idade média, segundo dados disponibilizados pelo Senado Federal, de 53 anos e 11 meses.
Para um homem que se insere no mercado de trabalho aos 20 anos e continua a contribuir ininterruptamente ao RGPS (o que raramente acontece), a soma “95” somente poderá ser atingida aos 57,5 anos de idade. Logo, um grande número de segurados se aposentará mais tarde, o que gerará uma economia considerável, inclusive no curto prazo, afetando positivamente o saldo da Previdência Social.
De outra feita, faz-se necessário esclarecer que a aprovação da fórmula 85/95 não significará o fim do fator previdenciário.
Conforme se infere da leitura do texto enviado pelo Congresso Nacional para a apreciação pela Presidência da República, o segurado que não tenha satisfeito a fórmula 85/95 ainda poderá requerer a aposentadoria por tempo de contribuição assim que alcançar 30 e 35 anos de tempo de contribuição para a mulher e para o homem, respectivamente.
Dessa maneira, nem todos os segurados se aposentarão de acordo com a nova legislação, de modo que não haverá significante aumento dos custos da Previdência Social com a concessão de novas aposentarias por tempo de contribuição.
1ª CONCLUSÃO – MAIS CLAREZA E OBJETIVIDADE NA REGRA DE CÁLCULO = SEGURADOS ADIARÃO O PEDIDO DE APOSENTADORIA
Fator previdenciário sem fórmula 85/95 | Fator previdenciário com fórmula 85/95 |
Não conseguiu adiar a data da aposentadoria dos segurados ao longo dos anos | Certamente muitos segurados continuarão a contribuir para o INSS para atingir a média integral |
Fórmula complexa e ininteligível | Havendo regras mais claras, aliadas a uma educação previdenciária eficaz, as pessoas poderão planejar sua aposentadoria para que recebam um benefício para manter o seu padrão de vida. |
Inexistência por parte do INSS de uma estrutura apta a orientar o segurado sobre eventual ganho em adiar a aposentadoria | Havendo mais transparência quanto à regra de cálculo, ainda que o INSS não forneça ao segurado instrumentos de simulação de cálculo do benefício para o futuro, regras de cálculo mais claras permitirão um planejamento previdenciário por parte do segurado |
2ª CONCLUSÃO: O ATO DE ADIAR A APOSENTADORIA TRADUZIRÁ EM MENOR DESEMBOLSO DE BENEFÍCIOS DE APOSENTADORIA POR TEMPO DE CONTRIBUIÇÃO DE FORMA PRECOCE E MAIOR ARRECADAÇÃO PREVIDENCIÁRIA
A título de exemplo, citamos um segurado do sexo masculino que tenha 35 anos de tempo de contribuição e 60 anos de idade (logo, 95) e que venha a se aposentar de acordo com a regra atual. O seu fator previdenciário é de 0,85 e, se considerarmos um salário de benefício de R$ 2.000,00, o valor inicial da sua aposentadoria seria de R$ 1.700,00.
Se esse mesmo segurado vier a se aposentar de acordo com a nova regra o fator previdenciário não será aplicado e, assim, o seu benefício inicial será de R$ 2.000,00.
Logo, apesar de mais benéfica ao segurado, a variação percentual é pequena, de modo que o impacto financeiro aos cofres da Previdência Social não será excessivamente significativo.
Cumpre destacar que a justificativa apresentada pelo Governo Federal para a promoção das recentes medidas que restringiram o acesso a benefícios previdenciários e sociais é a necessidade de reduzir os gastos no momento de crise pelo qual passa o Brasil.
A própria Presidenta, em pronunciamento realizado no dia 08 de março de 2015, foi enfática ao afirmar que se trata de problemas passageiros e que, num futuro próximo, o país retomará o caminho do crescimento. Ou seja, a necessidade de economia é passageira e em breve não haverá necessidade tão imperiosa de restringir ou mesmo ampliar os direitos dos segurados.
O que deve ser considerado é que a aprovação da nova fórmula poderá contribuir para a formação da poupança previdenciária necessária nesse momento de dificuldades.
Conforme já dito, a aplicação da nova forma de cálculo será benéfica ao segurado, pois resultará em um benefício mensal maior. Já se observa grande expectativa pela aprovação dessa inovação legislativa e muitos segurados que já preencheram os requisitos para a concessão da aposentadoria por tempo de contribuição (30 anos de contribuição para mulheres e 35 para homens) e ainda não satisfizeram a fórmula 85/95 certamente irão adiar o requerimento da aposentadoria, com vistas a receber um benefício mensal maior.
Tomando apenas como premissa um homem que tem 53 anos de idade e 35 anos de contribuição, a somatória entre estes dois números perfaz 88, ou seja, para ele não ter o fator previdenciário terá que trabalhar (e não se aposentar) mais 3 anos e meio.
Supondo que este homem sempre recolheu sobre o teto, se ele se aposentasse aos 53 anos, seu benefício seria de aproximadamente R$ 2.795,00 (fator de 0,65).
Caso ele queira se aposentar sem o fator previdenciário para receber o benefício integral, ele terá que adiar sua aposentadoria em três anos e meio (para atingir 95), ou seja, DEIXARÁ DE GANHAR 45 MESES DE APOSENTADORIA (incluindo o décimo terceiro).
Nesse simples exemplo, a Previdência Social economizará o valor de R$ 125.775,00. Se imaginarmos que ele é um segurado facultativo ou contribuinte individual e continuou recolhendo sobre o teto do RGPS (R$ 4.663,75), a Previdência Social arrecadará deste segurado o valor mensal adicional de R$ 932,75, ou seja, R$ 39.175,50 (42 meses). Nesse exemplo, a Previdência teve uma economia total (incluindo o que deixou de pagar mais o que arrecadou) de R$ 162.390,00.
Fator previdenciário sem fórmula 85/95 | Fator previdenciário com fórmula 85/95 |
Motiva aposentadorias precoces. | Muitos segurados adiarão a sua aposentadoria, robustecendo a poupança previdenciária do País. Também a Previdência Social deixará de conceder benefícios previdenciários mais precoces. |
O segurado, ao seu aposentar precocemente, retira-se do mercado de trabalho, impactando na arrecadação previdenciária, sobretudo porque muitas empresas tem infelizmente ainda como prática a demissão de pessoas aposentadas e muitos segurados facultativos e contribuintes individuais deixarão de recolher para a Previdência. | O segurado vai continuar contribuindo para a Previdência Social para receber um benefício melhor, aumentando a arrecadação previdenciária e, aliada a uma educação previdenciária robusta, não irá requerer a aposentadoria tão logo complete os 30 ou 35 anos de contribuição (mulher e homem, respectivamente). |
4ª CONCLUSÃO: MAIOR CLAREZA E OBJETIVIDADE DAS REGRAS DE CÁLCULO AUMENTA A COBERTURA PREVIDENCIÁRIA BRASILEIRA = MAIOR ARRECADAÇÃO E DIMINUIÇÃO DE GASTOS COM BENEFÍCIOS ASSISTENCIAIS
Não se nega que o caráter ininteligível do fator previdenciário acaba por afastar potenciais contribuintes para o INSS: apenas 23% dos empregados domésticos estão cobertos pelo INSS; apenas 41% dos trabalhadores autônomos estão vinculados ao INSS. Isto sem mencionar que qualquer pessoa física pode ser contribuinte da Previdência Social (apenas 2% da população não economicamente ativa contribuem para o INSS como facultativos).
Uma clareza maior da fórmula de cálculo da aposentadoria atrairá milhões de pessoas para a Previdência Social aliada a uma educação previdenciária eficaz.
Fator previdenciário sem fórmula 85/95 | Fator previdenciário com fórmula 85/95 |
Afasta milhões de pessoas do sistema previdenciário, pois as regras são confusas e com critérios que se alteram anualmente no cálculo do fator previdenciário, gerando insidiosa insegurança jurídica. | Uma educação previdenciária mais eficaz será possível com uma regra inteligível, atraindo para o bojo da Previdência Social um número maior de segurados. |
Quanto menor a cobertura previdenciária de um País, tal como ocorreu na Argentina e no Chile, resulta em maiores gastos assistenciais, sem a contrapartida da contribuição previdenciária. | Atualmente o País gasta bilhões anualmente no pagamento de bolsa-família e o benefício de prestação continuada do LOAS, verbas que fornecem apenas o mínimo existencial para os beneficiários e comprometem os cofres públicos, pois não existe arrecadação previdenciária nesses casos. A proteção previdenciária, por outro lado, garante mais dignidade ao segurado, pois o segurado fará jus à gratificação natalina e garante o direito à pensão por morte aos dependentes. Não se nega que, em certa medida, o aumento na concessão de benefícios assistenciais acaba por afastar muitas pessoas do mercado de trabalho formal, com o receio de perder a assistência estatal, o que também impacta na arrecadação previdenciária. |
5ª CONCLUSÃO: BENEFÍCIOS PREVIDENCIÁRIOS QUE MANTEM O PADRÃO DE VIDA DO SEGURADO PODEM DIMINUIR A LITIGIOSIDADE PERANTE O PODER JUDICIÁRIO
No atual cenário, tendo em vista a abrupta redução causada pelo fator previdenciário, os segurados continuam trabalhando e posteriormente recorrem ao Poder Judiciário para requerer a chamada desaposentação.
Existem milhares de ações requerendo a alteração do valor do benefício previdenciário, gerando gastos vultosos para a manutenção da máquina do Poder Judiciário, da AGU e do próprio INSS para o cumprimento das ordens judiciais.
Obviamente, se o segurado receber um benefício previdenciário que condiz ao que ele contribuiu após julho de 1994, não necessitará buscar o Poder Judiciário para minimizar o impacto nefasto causado pelo fator previdenciário, gerando economias inestimáveis para o poder público.
3. DA NECESSIDADE DE VETO DO § 10º DO ART. 29 DA LEI N. 8.213/91
Houve uma grave falha de redação legislativa na MP n. 664/2014 quando incluiu o critério de cálculo do auxílio doença foi inserido no art. 29 da Lei n. 8.213/91. Eis o que prevê o art. 29:
Art. 29. O salário-de-benefício consiste
(…)
§ 10. O auxílio-doença não poderá exceder a média aritmética simples dos últimos doze salários-de-contribuição, inclusive no caso de remuneração variável, ou, se não alcançado o número de doze, a média aritmética simples dos salários-de-contribuição existentes.
A presença dessa limitação no art. 29 da Lei nº 8.213/91, que trata do cálculo do salário de benefício, poderá repercutir no valor de diversos outros benefícios previdenciários, inclusive na hipótese de transformação do auxilio doença na aposentadoria por invalidez, conforme disposto no Decreto nº 3.048/99:
“Art. 35:
(…)
§ 7º A renda mensal inicial da aposentadoria por invalidez concedida por transformação de auxílio-doença será de cem por cento do salário-de-benefício que serviu de base para o cálculo da renda mensal inicial do auxílio doença, reajustado pelos mesmos índices de correção dos benefícios em geral.
O correto seria (caso essa medida fosse de fato adotada pelo Congresso Nacional – o que o IEPREV não concorda) estabelecer tal limitação na definição no cálculo da renda mensal inicial do benefício do auxílio doença, mas jamais no cálculo do salário de benefício do auxílio doença, pois tal sistemática repercute no cálculo de vários outros benefícios, nos termos do §5º do art. 29 da Lei n. 8.213/91:
Art. 29 (…)
§ 5º Se, no período básico de cálculo, o segurado tiver recebido benefícios por incapacidade, sua duração será contada, considerando-se como salário-de-contribuição, no período, o salário-de-benefício que serviu de base para o cálculo da renda mensal, reajustado nas mesmas épocas e bases dos benefícios em geral, não podendo ser inferior ao valor de 1 (um) salário mínimo.
Assim sendo, se um segurado – que sempre recolheu sobre uma média salarial de R$ 2.800,00, por exemplo – auferiu nos últimos meses uma remuneração de um salário mínimo, este será o valor do salário de benefício do auxílio doença. Futuramente, quando esse mesmo segurado (que hipoteticamente auferiu durante quatro anos o benefício por incapacidade temporária) requerer sua aposentadoria por idade, por tempo de contribuição ou especial o valor do salário de benefício do auxílio doença será utilizado no cálculo dos respectivos benefícios e até mesmo terá repercussões no cálculo da pensão por morte, auxílio-acidente e demais benefícios previstos no RGPS.
A situação, contudo, mais grave que poderá se impor para esse infortunado segurado é se ele não conseguir retornar ao trabalho. Caso o problema que ensejou o auxílio doença não seja revertido ou mesmo o INSS não lhe disponibilize uma reabilitação profissional eficaz, a solução que se vislumbra é a concessão da aposentadoria por invalidez. De acordo com essa última hipótese, o segurado receberá um salário mínimo de aposentadoria por invalidez, porquanto o valor do salário de benefício do auxílio doença nos casos em que existe a transformação dessa espécie de benefício para aposentadoria por invalidez é que definirá o valor da aposentadoria
4 – CONCLUSÃO
Assim, impõe-se como medida de justiça e de resposta aos anseios dos segurados a sanção presidencial ao dispositivo que institui a fórmula 85/95 para a aposentadoria, constante do Projeto de Lei de Conversão nº 4/2015.
Requer, ainda, seja vetado o parágrafo décimo do art. 29 da Lei n. 8.213/91, nos termos da previsão introduzida pela MP n. 664/2014.
Belo Horizonte, 8 de junho de 2015.
Roberto de Carvalho Santos
OAB/MG 92.298
Presidente do IEPREV

